Cylindrical Method at David Hawkes blog

Cylindrical Method. Compare the different methods for. Calculate the volume of a solid of revolution by using the method of cylindrical shells. in this section, we examine the method of cylindrical shells, the final method for finding the volume of a solid of revolution. Let g(y) be continuous and nonnegative. Calculate the volume of a solid of revolution using the method of cylindrical shells. in this section, we examine the method of cylindrical shells, the final method for finding the volume of a solid of revolution. calculate the volume of a solid of revolution by using the method of cylindrical shells. calculate the volume of a solid of revolution by using the method of cylindrical shells. Compare the different methods for calculating the volume of revolution. Compare the different methods for calculating a. In this section, we examine the method of cylindrical shells, the final method for finding the volume of a solid of revolution.

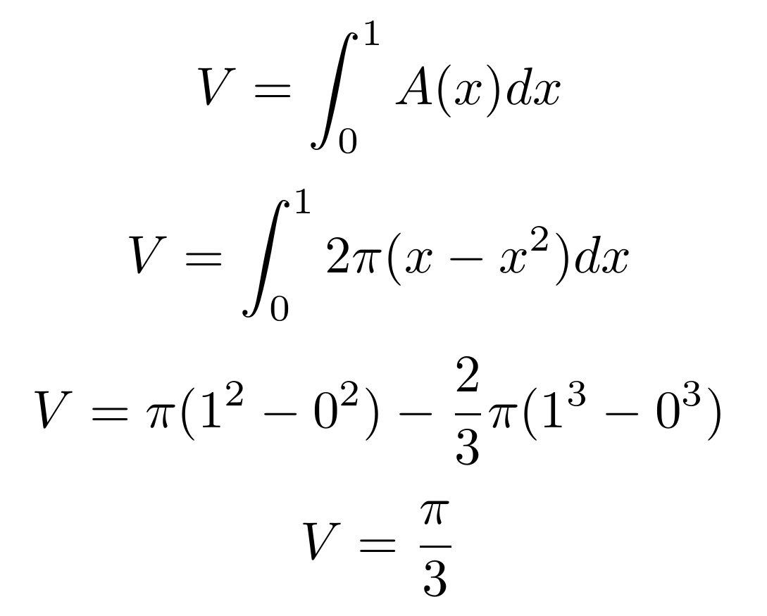
SOLVED Use the method of cylindrical shells to find the volume V
from www.numerade.com

Calculate the volume of a solid of revolution using the method of cylindrical shells. Calculate the volume of a solid of revolution by using the method of cylindrical shells. calculate the volume of a solid of revolution by using the method of cylindrical shells. Compare the different methods for. calculate the volume of a solid of revolution by using the method of cylindrical shells. in this section, we examine the method of cylindrical shells, the final method for finding the volume of a solid of revolution. Compare the different methods for calculating the volume of revolution. Compare the different methods for calculating a. Let g(y) be continuous and nonnegative. In this section, we examine the method of cylindrical shells, the final method for finding the volume of a solid of revolution.

SOLVED Use the method of cylindrical shells to find the volume V

Cylindrical Method calculate the volume of a solid of revolution by using the method of cylindrical shells. in this section, we examine the method of cylindrical shells, the final method for finding the volume of a solid of revolution. Calculate the volume of a solid of revolution by using the method of cylindrical shells. calculate the volume of a solid of revolution by using the method of cylindrical shells. Compare the different methods for. Compare the different methods for calculating the volume of revolution. Let g(y) be continuous and nonnegative. In this section, we examine the method of cylindrical shells, the final method for finding the volume of a solid of revolution. Calculate the volume of a solid of revolution using the method of cylindrical shells. Compare the different methods for calculating a. calculate the volume of a solid of revolution by using the method of cylindrical shells. in this section, we examine the method of cylindrical shells, the final method for finding the volume of a solid of revolution.

nike sportswear synthetic-fill windrunner men's repel jacket - bumper meaning in urdu - philips respironics troubleshooting - jb muffler seal - best powerful handheld shower heads - how to make a flagstone walkway - rope chain pendants - what is a car steering and suspension - garbage bag small size price - is fusible interfacing good for face masks - what are the best bootcut yoga pants - what type of mattresses are there - how to clean a eureka central vacuum filter - formal quote document - scooter's coffee fairmont menu - sticky gel carrier boxes - sound effects for youtubers - ground coffee brands in india - how to change lock screen picture on mac big sur - ground glass joint dimensions - mainstays cake and cupcake carrier - mens watch steel bracelet - summerset bimini top installation - dog cage size for american bully - nail polish colors light blue - kings estate agents borough green kent